
Special Relativity
In a Multi-inflationary Universe, the space-time frontier expands at the rate of c equals to the speed of light. It follows that nothing on the space-time frontier can move faster than the speed of light.
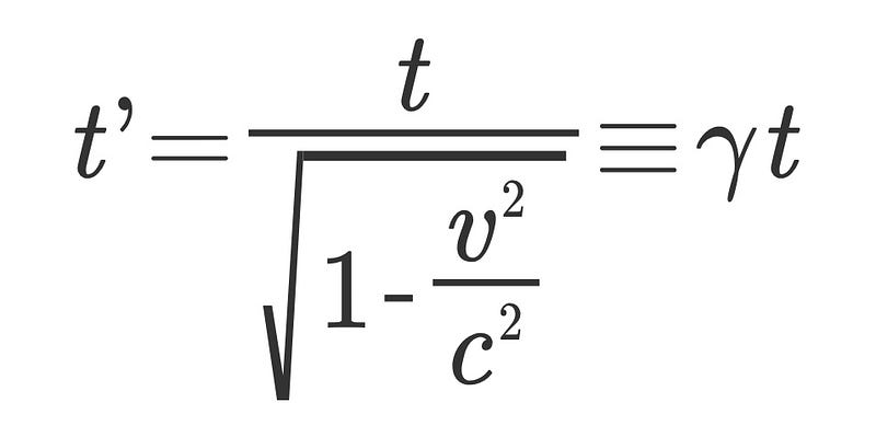
If a particle A moves at a velocity of v along a space dimension, then it will experience a change of time equals to

since it also moves at the rate of c along the time direction. This can be illustrated by the triangle OAv in the diagram above, where change of time for A is the vertical line Av. The length OA is c, while the length Ov is v.
Thus, moving at velocity v, the particle A experiences less change of time with respect to O. The rate of change in time or time unit is the inverse of change in time, and thus can then be written as

This is called time dilation in special relativity. Similarly, length contraction in special relativity can be further deduced as follows.
Imagine A is one end of a rod of length L. Then, since A is moving at velocity v, the other end of the rod must passes point A precisely at a time L/v. But time t’ is dilated with respect to t, so that

We can give a wave function illustration to this. Every object on the space-time frontier has a wave function over space and time. As it moves at v along the time direction, the wave function contracts on the moving spatial direction. The wave function stretches on the time direction with its center on a dilated time area.

Intuitively, the counter energy flows stretch the wave function along time direction and restricts the space along the moving spatial direction. We can draw an analogy from fluid dynamics. Along the space dimension, the "cross section area" of a moving flow of fluid is inversely proportional to its velocity.

When the wave function stops moving, its shape goes back to its initial form. In the illustration above, the first two frames illustrate two wave functions where the blue wave function moves at a velocity v and then stops momentarily.
The last two frames illustrate the movement of the blue wave function at the same velocity v but this time towards the other space direction approaching the red wave function. As the blue wave function comes to a halt, its wave function again returns to its former shape. Yet, the total time that the blue wave function experiences is the integral of all change in time along its path, which is less than the integral of all change in time that the red wave function experiences. This illustrates how the "twin paradox" works.