Understanding impermanent loss
What is impermanent loss?
Impermanent loss is a loss that funds are exposed to when they are in a liquidity pool. This loss typically occurs when the ratio of the tokens in the liquidity pool becomes uneven. Although, impermanent loss isn’t realized until the tokens are withdrawn from the liquidity pool. This loss is typically calculated by comparing the value of your tokens in the liquidity pool versus the value of simply holding them. Since stablecoins have price stability, liquidity pools that utilize stablecoins can be less exposed to impermanent loss.
How does impermanent loss work?
Impermanent loss typically affects liquidity pools that are meant to have an equal ratio of tokens, 50/50. In the USDC/ETH liquidity pool the liquidity providers need to provide equal portions of USDC and ETH into the pool. They are then entitled to withdraw equal portions of the pool. When users trade using a liquidity pool, which happens on decentralized exchanges, the ratio will change depending on how many tokens are in each pool, which will affect the price of those tokens.
Let’s say a liquidity provider adds 1 ETH and 100 USDC to the liquidity pool, this is for an equal value of both tokens. The dollar amount of their deposit is $200 because their ETH and USDC are both worth $100 each. Currently, there is 10 ETH and 1,000 USDC in the liquidity pool, a 50/50 ratio, which gives the liquidity provider a 10% share of the pool. They will receive LP tokens that they can use to redeem their 10% share of the pool at any time.
Since the price of tokens relies on the ratios of their liquidity pools their prices can separate from the prices on other exchanges. If the price of ETH increases by 100%, now worth $200 per ETH, the liquidity pool would have changed to 7.071 ETH and 1,414.21 USDC. This is because the ratio of the pool has changed, it is no longer 50/50, which affected the price of ETH.
Since the liquidity provider has a 10% share of the liquidity pool, they can withdraw 0.7071 ETH and 141 USDC, which equals $282. However, if the liquidity provider simply held their 1 ETH and 100 USDC, they would be worth $300. The difference between the two, $18, is the amount of impermanent loss the liquidity provider experienced. A greater change in the ratio of the pool will result in a larger amount of impermanent loss.
The amount of impermanent loss can also be impacted by the tokens in the liquidity pool as well as the number of liquidity providers in the pool. Since the above examples uses an ETH/USDC liquidity pool, ETH has a stable asset to swap against. If the liquidity pool were to be ETH/LINK then the risk of impermanent loss could be higher as both tokens have the potential to be volatile. Liquidity pools can also be made up of purely stablecoins, like DAI and USDC. This significantly reduces the risk of impermanent loss because stablecoins have almost no volatility, which will allow the pool to remain extremely stable.
Below is a graph that shows how price can impact the amount of impermanent loss a liquidity provider will experience. When a token increases 500% in price, you can see that the liquidity provider will incur an impermanent loss of approximately 25%. This is 25% less than the value of the tokens if they were simply held.

Since decentralized exchanges use equations to calculate how to adjust the values of tokens when the ratio changes, you can instead use an impermanent loss calculator to easily calculate potential losses. Below is an example of an impermanent loss calculator that can be found at dailydefi.org/tools/impermanent-loss-calculator/

In this example, Token A is $100 and Token B is $1, with a total starting value of $1000 between the two tokens — this is set automatically by the calculator. In the “future prices” section, the value of Token A, has increased to $200 while Token B, has remained at $1.

Since the value of Token A & B being held would be $1,500 compared to them being in a liquidity pool, $1,414.21, this would result in an impermanent loss of $85.79.
This uses an example of $500 for both Token A and B. To calculate using your own amount you could multiply or divide any of the given values. If you were using $2000 of both tokens, which is double the example, your impermanent loss would be $171.58.
Below is another example of an impermanent loss calculator that can be found at decentyields.com/impermanent-loss-calculator. Here you can manually set your deposit amount as well as the ratio of the pool, the pool weight.

In this example, the price of ETH increases 100% while Tether remains stable. Below you can see that the profit on a deposit of $4,000 is $1,656, the Pool P/L. However, the impermanent loss is 5.7% which results in a loss of $344. This can be calculated by subtracting the Pool Value from the Hold Value, $6,000 — $5,656 = $344.

However, it can only calculate from the current value of a token. If you bought the token at a lower or higher price than it is currently, it would not allow you to change that. If you require as much data as possible, you may need to utilize multiple calculators as there currently isn’t a calculator that provides every necessary function and data point.
Why be a liquidity provider?
Although liquidity providers can experience impermanent loss, the yield on their tokens must also be taken into account. If your yield generates higher returns than the amount you lose from impermanent loss then you can receive more profit than simply holding the tokens. Moreover, by receiving yield on your tokens in a liquidity pool, you are also turning them into a productive asset.
Uniswap takes a 0.03% fee from every trade and gives it to the liquidity providers. The higher the volume of trades is, the more revenue is generated for the liquidity providers. Below you can see that the fees generated over 24 hours for the ETH/USDC pool is over $402,000. The higher your share of this pool is, the more revenue you receive from that $402,000.

DeFi platforms have also been incentivizing users to add liquidity to their pools. This is usually done by also giving rewards based on your share of the pool. On Uniswap, liquidity providers can also earn UNI tokens as an extra reward on top of the yield from providing liquidity. This can further increase profit for liquidity providers while simultaneously decreasing the impact of impermanent loss.
Solutions
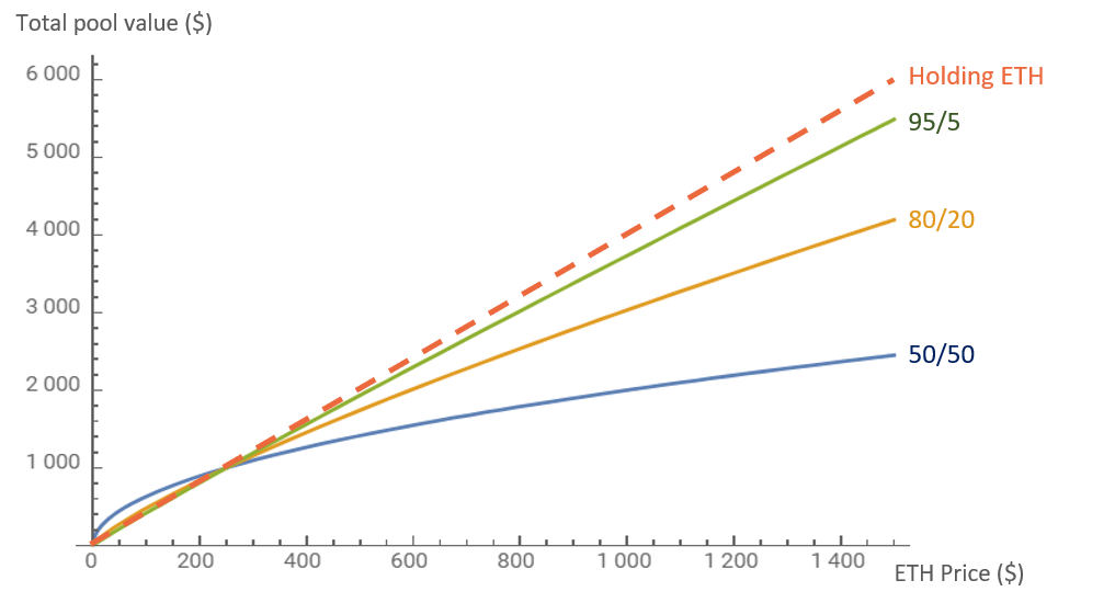
While liquidity providers can use stablecoins, yields, and rewards to help lessen the impact of impermanent loss they can also reduce this by using liquidity pools that use ratios other than 50/50. Balancer is a platform that offers liquidity pools with ratios like 60/40 or 80/20. When ETH is deposited into a pool that is 50/50 the liquidity provider has to have 50% exposure to another token. With an 80/20 pool, they only need 20% exposure to another token. You can see below how three liquidity pool ratios are affected by impermanent loss differently, with the 95/5 pool seeing the least impermanent loss.

These higher ratios can also help to lessen the impact of impermanent loss by providing a lesser difference between holding the token compared to providing liquidity. Below you can see that being in a liquidity pool with 80% ETH and 20% another token performs better than the 50/50 ratio.

It is worth noting the 50/50 pools are much more common than others, especially on Uniswap. Since trading fees go to liquidity pools, your yield is determined by how many people are using your liquidity pool. If the ratio is 95/5 but nobody is using the pool to trade then you will acquire little or no yield on your deposits.
Bancor is another platform that has implemented oracles with its liquidity pools to help minimize impermanent loss. Since oracles can provide data from external sources, the liquidity pools can be fed data of the price of assets from other exchanges. This can help the liquidity pools adjust prices accordingly instead of solely relying on the ratio of the pool to determine the price of the tokens. Since impermanent loss becomes worse the more the ratio changes, this can allow liquidity pools to remain closer to a 50/50 ratio, which may significantly reduce the risk of impermanent loss.
Join Coinmonks Telegram Channel and Youtube Channel learn about crypto trading and investing









