
Which crypto currency becomes the future payment system
(Dutch version here)
A considerable number of crypto coins would like to become a generally usable means of payment. Some want to exist next to the Euro and some want to exist instead of the Euro. Which cryptographic coin has the best papers and has made the right design choices?
In this research, 32 crypto currencies, that have this wish, will be examined and investigated in the areas of Security, Availability, User-friendliness, Technical user aspects, Maintenance, etc. It does not look at the Marketcap or value of the crypto currency but only whether they are well equipped to perform the task as a means of payment.
Which Crypto currencies are participating? To this end the 350 first mentioned currencies on Coinmarketcap were examined and if the website of the coin in question specifically mentioned that they wanted to be a means of payment, the coin was included in this investigation. The currencies on place 351–2079 are not included to limit the amount of work somewhat. Maybe there are jewels in between but unfortunately :)
Coinmarketcap is only used for the selection method and source of data. No attention is given to the ranking method Coinmarketcap uses. For criticism of that method see this story (Dutch only)
It turned out that 32 coins met the criterion. Most Tokens/coins present themselves as a platform to facilitate other functions and therefore fell outside the scope of this study. The 32 are:

The list is in alphabetical order except for the last two. These coins, the Apollo currency (APL) and the E-Dinar coin (EDR) did meet the criterion but on closer look both coins appeared to have so much ambiguity that they were excluded from participation.
What is striking is that there are also 6 coins participating which are a fork of another coin. Namely BCH, BCD, BTG, BTCP, ZEN, ZCL. Where BTCP is a combination of BTC and ZEC.
Once the list was complete, the specific characteristics of all the coins were searched and placed in a spreadsheet. Then we assessed how the coins score on seven topics that will be discussed below. The different coins are assessed per subject via the scale:
Excellent: 10 punten
Very good: 8 punten
Good: 5 punten
Fair: 3 punten
Poor 0 punten
In addition, the subjects are given a value coefficient by which the score is multiplied. This is done because certain topics are considered more important than other topics. When all scores are taken together, we get a ranking to see which coin most closely matches the requirements to form a means of payment system.
Safety
The most important thing about a potential coin is, of course, the safety of the blockchain that goes with it. Finally, the user must be able to trust that the coin cannot be hacked easily or that you can easily be robbed. Therefore, the value coefficient of the subject of security also has a high value of 3.
Security problems that a blockchain can run into are for example so-called “double spend”, “51% attacks”, “Selfish mining”, “side chain mining” etc. It takes too long to discuss these kinds of security problems here but there is plenty to find on the Internet.
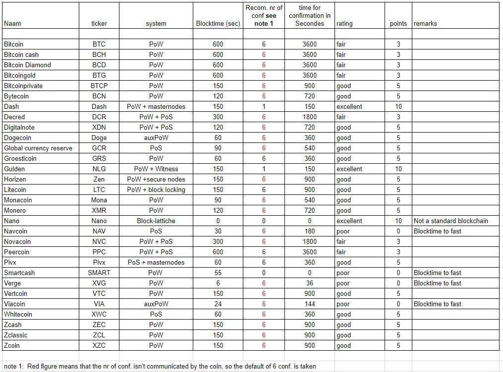
The security of the blockchain depends on a number of things such as which mining system is used with which protocol, how much mining power is on the network, what it costs to perform a 51% attack, whether the wallet can be encrypted during Stake and whether extra measures such as masternodes etc. are taken. Below a table with the rating of the subject security. The remarks column contains a justification for the chosen rating. Please note that PoS is rated slightly higher than PoW.

Availability
This means whether the crypto currency is easy to purchase. Because it has to become a commonly used means of payment it is important that it is easy to have a short line to Fiat money so that the buying and selling process does not have to run through BTC.
The amount of exchanges on which a Fiat/crypto coin pair is present is more important that there are 100 exchanges with a BTC/crypto coin pair.
Zero Fiat/crypto pairs automatically results in a “Poor” 0 points score.
more than 10 Fiat/crypto pairs available results in an “Excellent” score with the corresponding 10 points.
The value coefficient for this subject is 2.

Use aspects in relation to wallet
If a coin wants to be attractive to the public, the wallet is of course one of the eye-catching items. If a crypto coin does not pay attention to its own developed wallet but relies on 3rd party wallets, that is a big flaw. 3rd party wallets have the big disadvantage that you are dependent on the continuity of that party and whether it responds adequately when an update or similar needs to be done. That’s why own native wallets are rated higher than 3rd party wallets. Because you always have a wallet with you it is also important that mobile wallets are offered. With most coins the desktop side is okay but the mobile wallets are the bottle neck. Especially the iOS version is often missing.
In addition, the transaction fee is important. A too high fee will make micro payments impossible. Fortunately, the transaction fee for all coins is low to very low except for BTC, which costs BTC a few points.
The value coefficient is 2.

Technical aspects of use
In this topic we will discuss the transaction time. The shorter the transaction time, the higher the score. Only a few coins make a statement about this and if nothing is mentioned, the standard of 6 confirmations is used.
There are two coins that pretend to have direct transactions. These could then score the highest and that goes for Nano but for the other coin “Smartcash” the limiting factor is that the block time is too fast, which in principle results in a malfunctioning block chain. This is not noticeable with a low number of transactions, but if the blocks become larger because they contain more transactions, it will encounter problems with the propagation delay in the blockchain network. See the following PDF.
Short simplified explanation:
When a new block is mined it is announced with a very short (small) message. If a node notices that this is a new block for him, he will make a request to download it. Then he gets the whole block that can be big (data transfer speed slows down if the block is not 2 kilobytes but 2MB (Not everyone on this planet has fiber) and then he really has to count on the data. Only when that is done will this node have the block available for other nodes that are interested in what is the newest block in the blockchain at that moment. If you have a large network of 1000 nodes 70% will be up to date within 10 seconds but 5% will not be aware of the latest block after one minute.
If after 20 seconds another miner finds a block with the same ‘heigth’ and shoots into the network you have a good chance that you will have a temporary softfork on part of the network. According to the mentioned PDF Bitcoin with its block time of 10 minutes had a chance of 1.7% per block. Let alone if the block times are much shorter.
Therefore, it was decided to block times shorter than 1 minute with Fair or with Poor (block times of 15 seconds etc.) to assess.
The assessment should also include the number of transactions/seconds that the network can process. But because this data is not available with many coins while others claim they can handle 1000 transactions but cannot prove this because the busiest network so far only has to process a meager 3-4 transactions per second, it was decided not to include this item in the assessment. See also this article. (Dutch only)
The value coefficient is 2

Maintainability
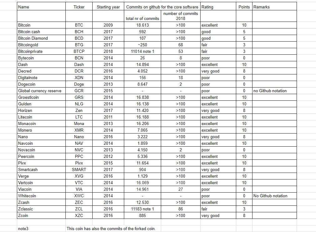
Also important is how you can be confident that the crypto coin will continue to exist and developed. This is why we have looked at how long the coin has existed and how many changes have been made to the core software, both in the past and in the past year. So how much design capacity is spent by the developers on maintenance and new developments of the core software. A coin that only exist since 2017 cannot achieve the highest score because history is too short to assess it.
The value coefficient is 2.

Inflation
For a well-functioning economic system, a small amount of inflation is always required.

With crypto this can be achieved by mining new coins via PoW or via Stake with PoS. It is then important that this is done a bit dosed and neatly. However, there are coins with a very high inflation and the market must be able to absorb all this influx of new coins. Because if all these newly mined coins are dumped directly on the market it can be very disadvantageous for the market.
The inflation is calculated on the basis of the block rewards against the “circulating supply”, so not of the maximum supply. The chosen method ensures that inflation will decrease over time and is therefore a snapshot with a reference date of November 2018. But this method seems fairer than including inflation in the maximum supply.
In this study, it was assumed that healthy inflation should be at least 0.5% and no more than 5% per year. More or less is therefore valued lower. There are coins with an inflation rate of more than 50%. Of course, these are not best assessed.
The value coefficient for inflation is set at 1.
Premine
A big item within the crypto world is the premine of a coin. A few years ago, the crypto-purists did not even consider coins, which started with a premine, to be fully-fledged. Today, now that one ICO after the other is launched, the thoughts about a premine have become somewhat more nuanced. To develop a good product, some capital is of course indispensable and the premine can form an good basis for this. The premine must of course remain within certain limits and certainly not become an end in itself.
The premine is expressed as a percentage of the maximum supply of a coin and is in this research assessed as follows:
0% = Excellent
<1% = Very good
<5% = Good
<15% = Fair
>15% = Poor
The value coefficient for this subject Premine is set at 1.

Negative points
There are always some items left on a coin that have a negative impact specifically on that coin. Therefore, a final table has been made where “penalty” points can be scored.
For example, a number of coins are very well-focused on the privacy and anonymity of the users and their actions on the blockchain. But if crypto really wants to become a means of payment, the crypto world cannot escape regulation. It is therefore inevitable that the privacy and anonymity of users will come under fire. If the coins that have made privacy/anonymity their most important unique selling point, that coin will never be able to develop fully and will have a marginalized existence. Therefore, a privacy focused coin with -5 points is assessed.
To build a safer blockchain, some coins have sacrificed the decentrality of the blockchain by introducing the central master/supernodes. This practice is also “punished” with -5 points. Finally, the crypto world wants to be an alternative to the centrally controlled Fiat world. Decentralized solutions are possible to achieve a safer blockchain, perhaps slightly more difficult but decentralized. So why choose the simple central solution?
Transparency of a currency is also important. If a coin cannot be fathomed through the public sources (for example the Website) in its actions, this also results in 5 penalty points. Two coins themselves were so little shrewd with information that they were not allowed to participate in this research.
Value coefficient is set at 1.

Conclusion
Of course, this research is not a completely objective method because it depends on the value coefficient of the chosen subjects and the rating per subject, among other things. And the researcher made this assessment on the basis of feeling, knowledge and experience. Anyone can make a different assessment because this study is public and anyone can access the spreadsheet with the basic data via Googledoc’s, make a copy and make your own assessment.
The fans of a particular coin will not recognize themselves in certain valuations of their coin presented in this research. In addition, it can be said: “This or that aspect of my coin has not been taken into account”. No, that’s true, because the researcher has searched for the lowest common denominators of the crypto coins and cannot consider very coin-specific aspects. But keep in mind that all coins have been assessed using the same criteria and not only your favorite coin has to do with a too negative or too positive assessment by the researcher.
Nevertheless, this study gives a nice picture of how the different coins score in those areas that are important to become a generally accepted means of payment.
And now to the final score…….drum roll:

We see that Dash scores the most points and that a small coin like Gulden is second. Bitcoin comes in third place and has that third place due to the worse scores on transaction fee and confirmation speed.
All forks of Bitcoin, such as Bitcoincash, Bitcoingold and Bitcoindiamond score mediocre to bad. Apparently these are crypto’s that are only designed to give you a profit during the fork.
Accountability
All data used in this research has been obtained from public sources.
The data from late October — early November 2018 has been used.
Here you will find a link to the spreadsheet with all data
Important data sources were:
Coinmarketcap
Bitcointalk
Coinwarz
The websites of the various cryptomunten
Research by Christian Decker, Roger Wattenhof
Bitinfocharts
White paper PoW2
Github
Other maybe relevant articles of the writer are:
The Good, the Bad and the Ugly, Classifying the crypto-coins.
The nonsense of Marketcap







